Ⅳ.公式(文献.1)
(肉厚)
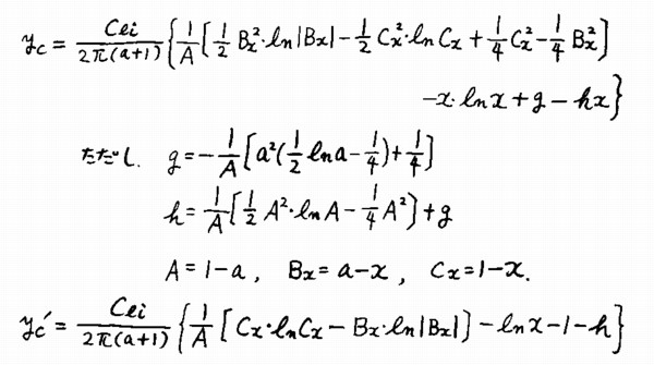
(キャンバー)
上式中、aは「NACA a= 0.3 」の 0.3 という値、Cliは設計揚力係数。
なお、x = a の時、コンピュータを用いると ln│Bx│の項が無限小となって計算不能となるが、M→0の時、M・ln M→0、M2・ln M→0となるのでこの項は0として扱う。x=0の時の ln Xの項、x =1の時の ln Cxの項も同様。ln は自然対数( log e )
Ⅴ.条件、係数及び仮名
(条件)
| ① | L.E.R. = 0.02 (BX−3Aの場合、0.018 ) |
| ② | x= 1 の時、y= 0 |
| ③ | x= 1 の時、y”= 0 |
| ④ | [A]x= 0.3 の時、y= 0.075 [B]x= 0.325 の時、y= 0.075 [C]x= 0.35 の時、y= 0.075 |
| ⑤ | [A]x= 0.3 の時、y’= 0 [B]x= 0.325 の時、y’= 0 [C]x= 0.35 の時、y’= 0 |
※ %表示ではなく、100%を「1」として扱う。 |
(係数)
| a0 | a1 | a2 | a3 | a4 | ||
| [A] | +0.2 | -0.029400 | -0.35191 | +0.23699 | -0.055676 | |
| [B] | +0.2 | -0.057434 | -0.21416 | +0.063474 | +0.0081235 | |
| [C] | +0.2 | -0.084199 | -0.088908 | -0.091755 | +0.064862 | |
| (A) | +0.189737 | +0.0028623 | -0.41254 | +0.29446 | -0.074522 | BX−3Aにおける[A]条件 |
(仮名称)
BX−3 ┬ ******なお、BX−3においては L.E.R.=2%としたが、NACA 6シリーズ翼では最大肉厚15%で、63系、64系が約1.6%、65系が1.5%程度であるので、L.E.R.をもう少し小さい1.8%としたBX−3A翼型も平行して検討する。他条件はBX−3に同じ。a値も多少の幅を持たせて検討する。
BX−3A ┘ ┗┛┗┛┗┛
① ② ③
①=[最大肉厚位置]× 40 ([A]タイプ=12,[B]タイプ=13,[C]タイプ=14)
②=[キャンバーa値]× 20 (a= 0.3 の時、=06)
③=[Cli値]× 20 (Cli= 0.7 の時、=14)